简谱吧 | 简谱吧-提供简谱,吉他谱,钢琴谱,电子琴谱,手风琴谱,二胡谱,笛萧谱,萨克斯谱,古筝谱等歌谱。
你的位置:首页 > 简谱 » 正文

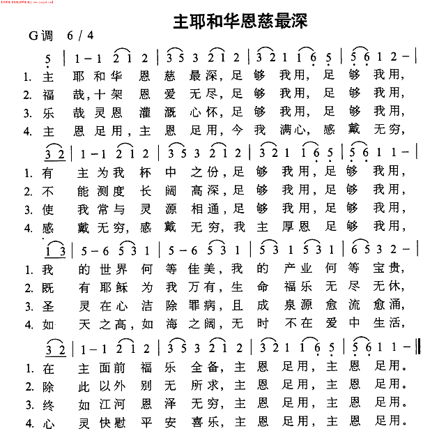
主耶和华恩慈最深简谱

发布时间:2019-08-08 03:47:04

简谱分类:简谱  主耶和华恩慈最深
主耶和华恩慈最深是由简谱网提供的简谱,包括主耶和华恩慈最深简谱以及更多简谱图片请关注简谱吧

歌词提示:主耶和华恩慈最深,足够我用,足够我用,有主为我杯中之份,足够我用。。。

主耶和华恩慈最深简谱

Top