简谱吧 | 简谱吧-提供简谱,吉他谱,钢琴谱,电子琴谱,手风琴谱,二胡谱,笛萧谱,萨克斯谱,古筝谱等歌谱。
你的位置:首页 > 简谱 » 正文

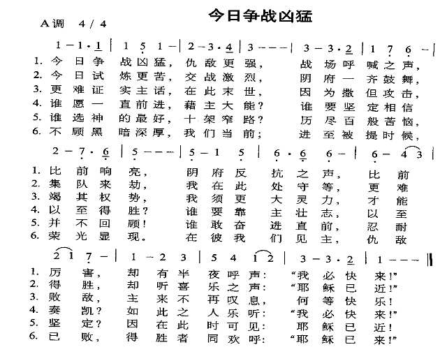
今日争战凶猛简谱

发布时间:2019-10-09 10:22:48

简谱分类:简谱  今日争战凶猛
今日争战凶猛是由简谱网提供的简谱,包括今日争战凶猛简谱以及更多简谱图片请关注简谱吧

歌词提示:今日征战凶猛 仇敌更强 战场呼喊之声...

今日争战凶猛简谱

Top