简谱吧 | 简谱吧-提供简谱,吉他谱,钢琴谱,电子琴谱,手风琴谱,二胡谱,笛萧谱,萨克斯谱,古筝谱等歌谱。
你的位置:首页 > 简谱 » 正文

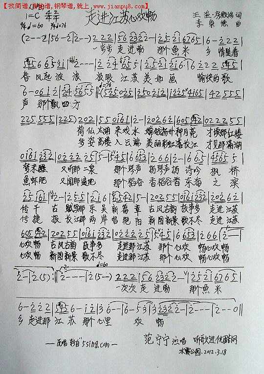
走进江苏心欢畅简谱

发布时间:2019-08-09 08:39:02

简谱分类:简谱  走进江苏心欢畅
走进江苏心欢畅是由简谱网提供的简谱,包括走进江苏心欢畅简谱以及更多简谱图片请关注简谱吧

歌词提示:一步步走进嘞那个鱼米乡,情随着春风起浪波,放眼江苏美如画,愉快的歌声那个飘四方。。。。

走进江苏心欢畅简谱
走进江苏心欢畅简谱

Top