简谱吧 | 简谱吧-提供简谱,吉他谱,钢琴谱,电子琴谱,手风琴谱,二胡谱,笛萧谱,萨克斯谱,古筝谱等歌谱。
你的位置:首页 > 简谱 » 正文

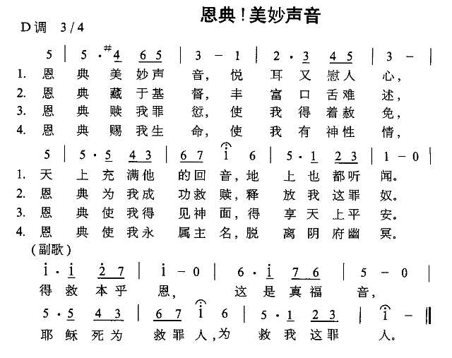
恩典!美妙声音简谱

发布时间:2019-08-01 18:02:18

简谱分类:简谱  恩典!美妙声音
恩典!美妙声音是由简谱网提供的简谱,包括恩典!美妙声音简谱以及更多简谱图片请关注简谱吧

歌词提示:恩典美妙声音 悦耳又慰人心 天上充满他的回音...

恩典!美妙声音简谱

Top