简谱吧 | 简谱吧-提供简谱,吉他谱,钢琴谱,电子琴谱,手风琴谱,二胡谱,笛萧谱,萨克斯谱,古筝谱等歌谱。
你的位置:首页 > 简谱 » 正文

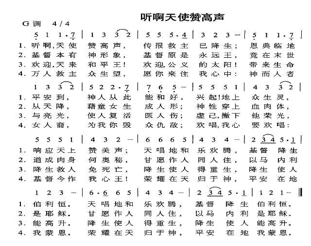
听啊天使赞高声简谱

发布时间:2019-08-02 18:19:14

简谱分类:简谱  听啊天使赞高声
听啊天使赞高声是由简谱网提供的简谱,包括听啊天使赞高声简谱以及更多简谱图片请关注简谱吧

歌词提示:听啊 天使有赞高声 传报救主已降生...

听啊天使赞高声简谱

Top