简谱吧 | 简谱吧-提供简谱,吉他谱,钢琴谱,电子琴谱,手风琴谱,二胡谱,笛萧谱,萨克斯谱,古筝谱等歌谱。
你的位置:首页 > 简谱 » 正文

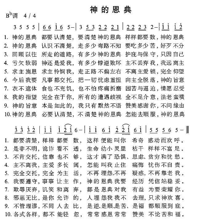
神的恩典简谱

发布时间:2019-08-14 02:22:50

简谱分类:简谱  神的恩典
神的恩典是由简谱网提供的简谱,包括神的恩典简谱以及更多简谱图片请关注简谱吧

歌词提示:神的恩典都要认清楚,要清楚神的恩典样样都要数,神的恩典。。。。。

神的恩典简谱

Top