简谱吧 | 简谱吧-提供简谱,吉他谱,钢琴谱,电子琴谱,手风琴谱,二胡谱,笛萧谱,萨克斯谱,古筝谱等歌谱。
你的位置:首页 > 简谱 » 正文

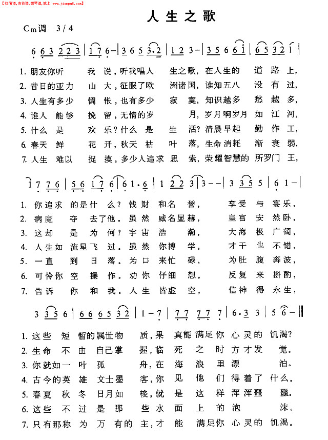
人生之歌简谱

发布时间:2019-08-14 03:22:18

简谱分类:简谱  人生之歌
人生之歌是由简谱网提供的简谱,包括人生之歌简谱以及更多简谱图片请关注简谱吧

歌词提示:朋友你听我说,听我唱人生之歌,在人生的道路上,你追求的是什么?钱财和名誉。。。。。

人生之歌简谱人生之歌简谱

Top