简谱吧
|
简谱吧
-提供简谱,吉他谱,钢琴谱,电子琴谱,手风琴谱,二胡谱,笛萧谱,萨克斯谱,古筝谱等歌谱。
首页
简谱
总谱
钢琴谱
二胡谱
笛箫谱
古筝谱
吉他谱
合唱谱
电子琴谱
萨克斯谱
手风琴谱
其他曲谱
更多
简谱吧
导航
本站搜索
简谱
总谱
钢琴谱
二胡谱
笛箫谱
古筝谱
吉他谱
合唱谱
电子琴谱
萨克斯谱
手风琴谱
其他曲谱
更多
你的位置:
首页
>
简谱
» 正文
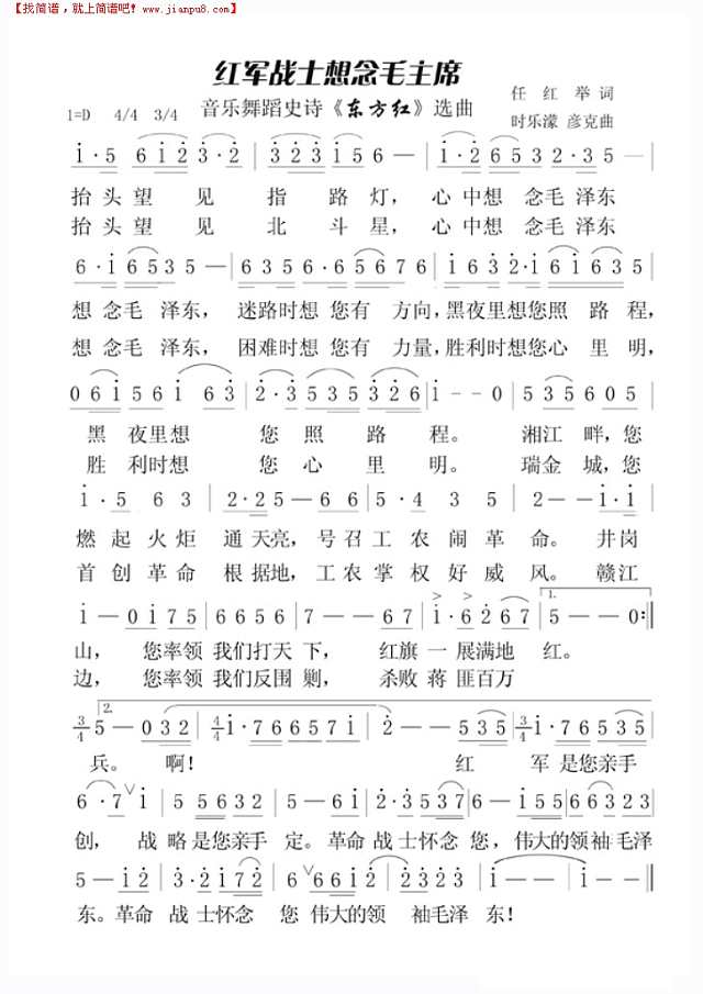
红军战士想念毛主席简谱
发布时间:2019-12-08 10:13:00
简谱分类:
简谱
红军战士想念毛主席
红军战士想念毛主席是由简谱网提供的简谱,包括红军战士想念毛主席简谱以及更多简谱图片请关注简谱吧
推荐简谱:
致爱丽丝简谱 难忘今宵简谱 倾心相许(《昭君出塞》插曲)简谱 毛主席的话儿记心上简谱 婚誓简谱 体会(《案发现场》片尾曲)简谱
< 上一篇
我不怪你也不会恨你简谱
下一篇 >
泪蛋蛋抛在沙蒿蒿里简谱
相关内容推荐:
龙凤呈祥简谱
母亲简谱
回忆简谱
回忆简谱
我的祝福简谱
彩云追月简谱
蒙娜丽莎的眼泪简谱
爱一个人好难简谱
话题列表
简谱
(35314)
钢琴谱
(6220)
吉他谱
(4363)
其他曲谱
(2333)
古筝谱
(603)
萨克斯谱
(288)
二胡谱
(268)
手风琴谱
(216)
流行类
(215)
电子琴谱
(214)
总谱
(195)
笛箫谱
(153)
简谱吧
(128)
民族类
(87)
《单簧管基础教程
(51)
圣歌类
(47)
合唱谱
(38)
啊
(37)
祖国
(35)
《不能说的秘密
(27)
推荐阅读
【红军战士想念毛主席】的其它简谱
红军战士想念毛主席简谱
红军战士想念毛主席简谱
更多简谱>>
龙凤呈祥简谱
母亲简谱
回忆简谱
回忆简谱
我的祝福简谱
彩云追月简谱
蒙娜丽莎的眼泪简谱
爱一个人好难简谱
爱不会一直等你简谱
北方的狼简谱
Top
全站搜索