简谱吧 | 简谱吧-提供简谱,吉他谱,钢琴谱,电子琴谱,手风琴谱,二胡谱,笛萧谱,萨克斯谱,古筝谱等歌谱。
你的位置:首页 > 简谱 » 正文

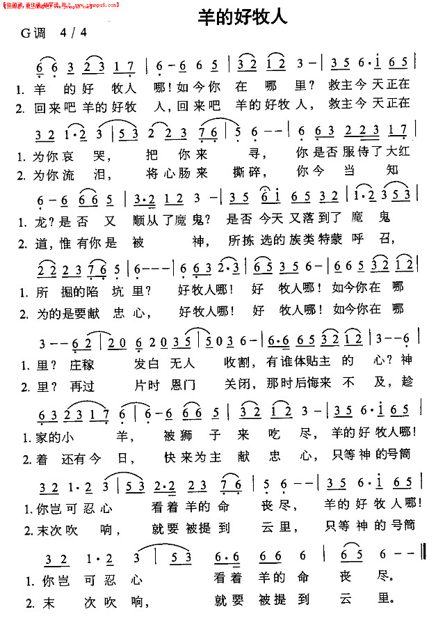
羊的好牧人简谱

发布时间:2019-08-16 13:28:32

简谱分类:简谱  羊的好牧人
羊的好牧人是由简谱网提供的简谱,包括羊的好牧人简谱以及更多简谱图片请关注简谱吧

歌词提示:羊的好牧人哪!如今你在哪里?救主今天正在为你哀哭,把你来寻,你是否服侍。。。。

羊的好牧人简谱

Top