简谱吧 | 简谱吧-提供简谱,吉他谱,钢琴谱,电子琴谱,手风琴谱,二胡谱,笛萧谱,萨克斯谱,古筝谱等歌谱。
你的位置:首页 > 简谱 » 正文

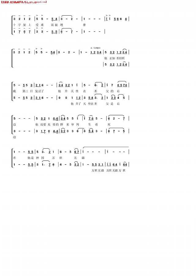
信友弥撒 信经简谱

发布时间:2019-08-18 06:14:06

简谱分类:简谱  信友弥撒 信经
信友弥撒 信经是由简谱网提供的简谱,包括信友弥撒 信经简谱以及更多简谱图片请关注简谱吧

歌词提示:我信唯一的天主全能的圣父,天地万物无论有形无形都是他所创造的,我信唯。。。。。。。

信友弥撒 信经简谱
信友弥撒 信经简谱
信友弥撒 信经简谱
信友弥撒 信经简谱

Top