简谱吧 | 简谱吧-提供简谱,吉他谱,钢琴谱,电子琴谱,手风琴谱,二胡谱,笛萧谱,萨克斯谱,古筝谱等歌谱。
你的位置:首页 > 简谱 » 正文

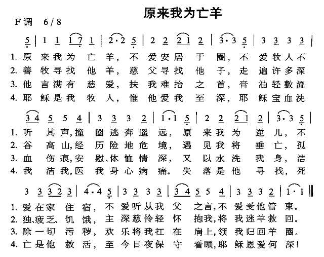
我当怎样祷告简谱

发布时间:2019-08-01 22:52:12

简谱分类:简谱  我当怎样祷告
我当怎样祷告是由简谱网提供的简谱,包括我当怎样祷告简谱以及更多简谱图片请关注简谱吧

歌词提示:我当怎样祷告 须把罪瓶全倒...

我当怎样祷告简谱我当怎样祷告简谱我当怎样祷告简谱

Top