简谱吧 | 简谱吧-提供简谱,吉他谱,钢琴谱,电子琴谱,手风琴谱,二胡谱,笛萧谱,萨克斯谱,古筝谱等歌谱。
你的位置:首页 > 简谱 » 正文

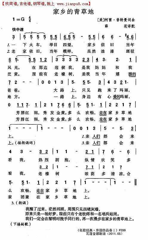
家乡的青草地简谱

发布时间:2019-08-05 16:19:04

简谱分类:简谱  家乡的青草地
家乡的青草地是由简谱网提供的简谱,包括家乡的青草地简谱以及更多简谱图片请关注简谱吧

作词:【美】柯雷.普特曼 作曲:【美】柯雷.普特曼  歌词提示:一下火车 举目四望 家乡依旧 当年风光 在那边迎候我 是我妈妈和我

家乡的青草地简谱

Top