简谱吧 | 简谱吧-提供简谱,吉他谱,钢琴谱,电子琴谱,手风琴谱,二胡谱,笛萧谱,萨克斯谱,古筝谱等歌谱。
你的位置:首页 > 简谱 » 正文

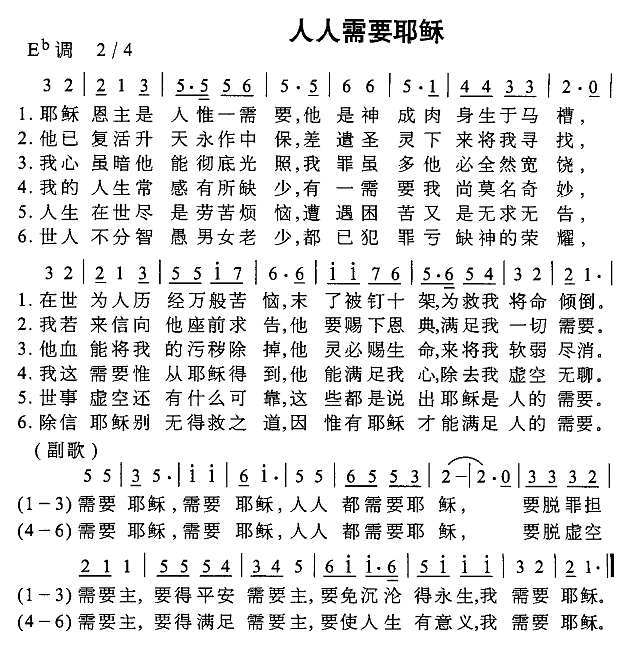
人人需要耶稣简谱

发布时间:2019-08-06 09:47:10

简谱分类:简谱  人人需要耶稣
人人需要耶稣是由简谱网提供的简谱,包括人人需要耶稣简谱以及更多简谱图片请关注简谱吧

歌词提示:耶稣恩主是人唯一需要,他是神成肉身生于马槽,在世为人历经万般苦恼。。。

人人需要耶稣简谱

Top