简谱吧 | 简谱吧-提供简谱,吉他谱,钢琴谱,电子琴谱,手风琴谱,二胡谱,笛萧谱,萨克斯谱,古筝谱等歌谱。
你的位置:首页 > 吉他谱 » 正文

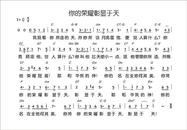
你的荣耀彰显于天吉他谱

发布时间:2019-10-27 04:11:10

你的荣耀彰显于天是由简谱网提供的吉他谱,包括你的荣耀彰显于天吉他谱以及更多吉他谱图片请关注简谱吧

歌词提示:我观看你所造的天 并你所设月亮星宿...

你的荣耀彰显于天简谱

Top