简谱吧 | 简谱吧-提供简谱,吉他谱,钢琴谱,电子琴谱,手风琴谱,二胡谱,笛萧谱,萨克斯谱,古筝谱等歌谱。
你的位置:首页 > 吉他谱 » 正文

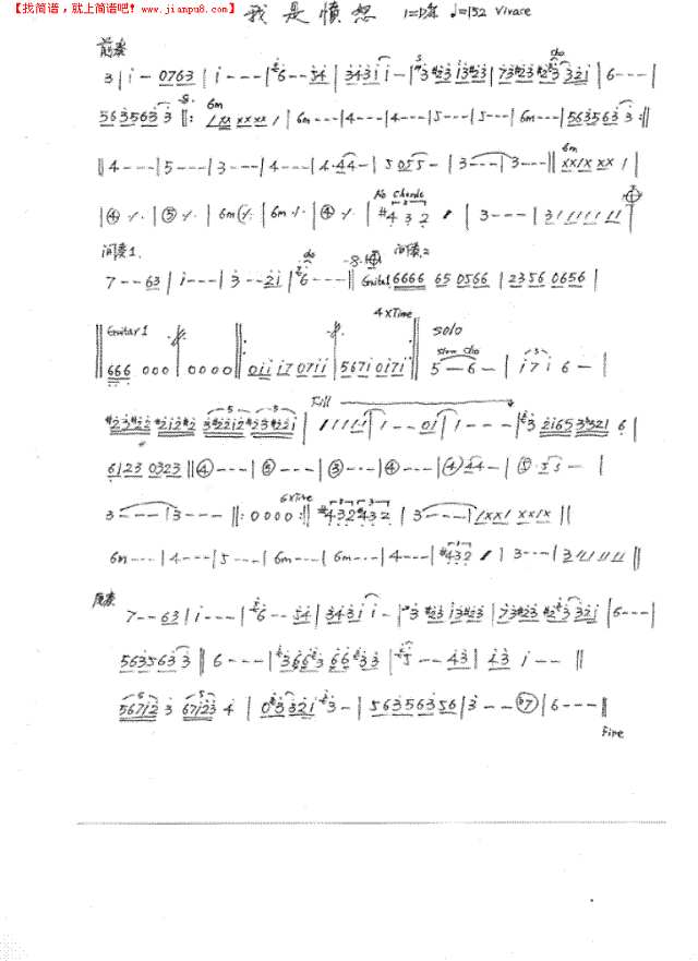
我是愤怒(BEYOND)吉他谱

发布时间:2020-03-30 13:44:14

我是愤怒(BEYOND)是由简谱网提供的吉他谱,包括我是愤怒(BEYOND)吉他谱以及更多吉他谱图片请关注简谱吧
我是愤怒(BEYOND)吉他谱

推荐吉他谱:
狮子座吉他谱  菊花台吉他谱  老友万岁吉他谱  流沙吉他谱  喀秋莎吉他谱  飞船吉他谱  
Top