简谱吧 | 简谱吧-提供简谱,吉他谱,钢琴谱,电子琴谱,手风琴谱,二胡谱,笛萧谱,萨克斯谱,古筝谱等歌谱。
你的位置:首页 > 其他曲谱 » 正文

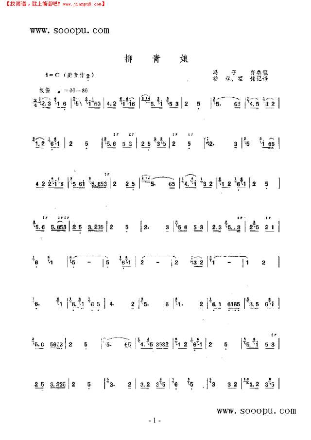
柳青娘竹笛谱其他曲谱

发布时间:2020-02-23 05:55:52

简谱分类:其他曲谱  柳青娘竹笛谱
柳青娘竹笛谱是由简谱网提供的其他曲谱,包括柳青娘竹笛谱其他曲谱以及更多其他曲谱图片请关注简谱吧


柳青娘 民乐类 竹笛其他曲谱

柳青娘 民乐类 竹笛其他曲谱

柳青娘 民乐类 竹笛其他曲谱

柳青娘 民乐类 竹笛其他曲谱

推荐其他曲谱:
阿姐鼓其他曲谱  西西里舞曲小提琴谱其他曲谱  鸟之舞 [简谱版](独奏5张)其他曲谱  D大调回旋曲小提琴谱其他曲谱  忘情水其他曲谱  三五七竹笛谱其他曲谱  
Top